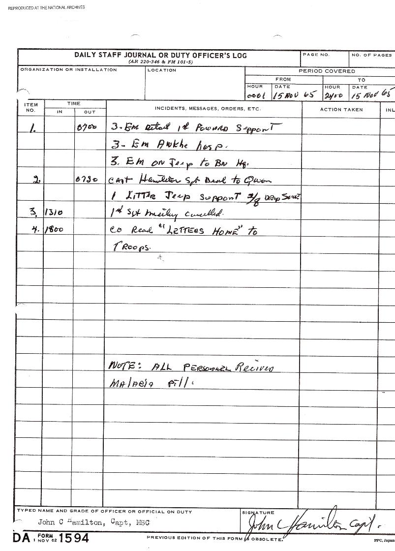
November 1965
A Co.  Page 2