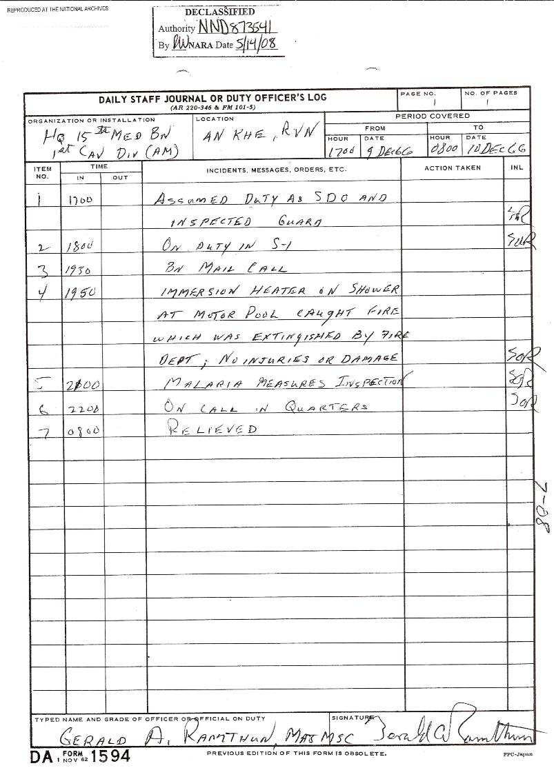
December 1966
HHC Page 9