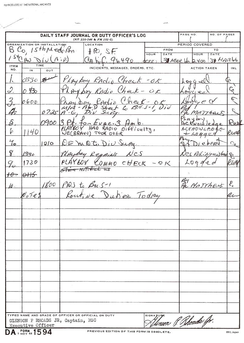
March 1966
B Co.  Page 6