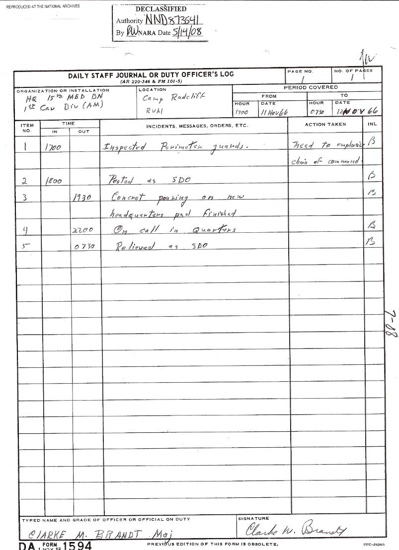
November 1966
HSC  Page 8