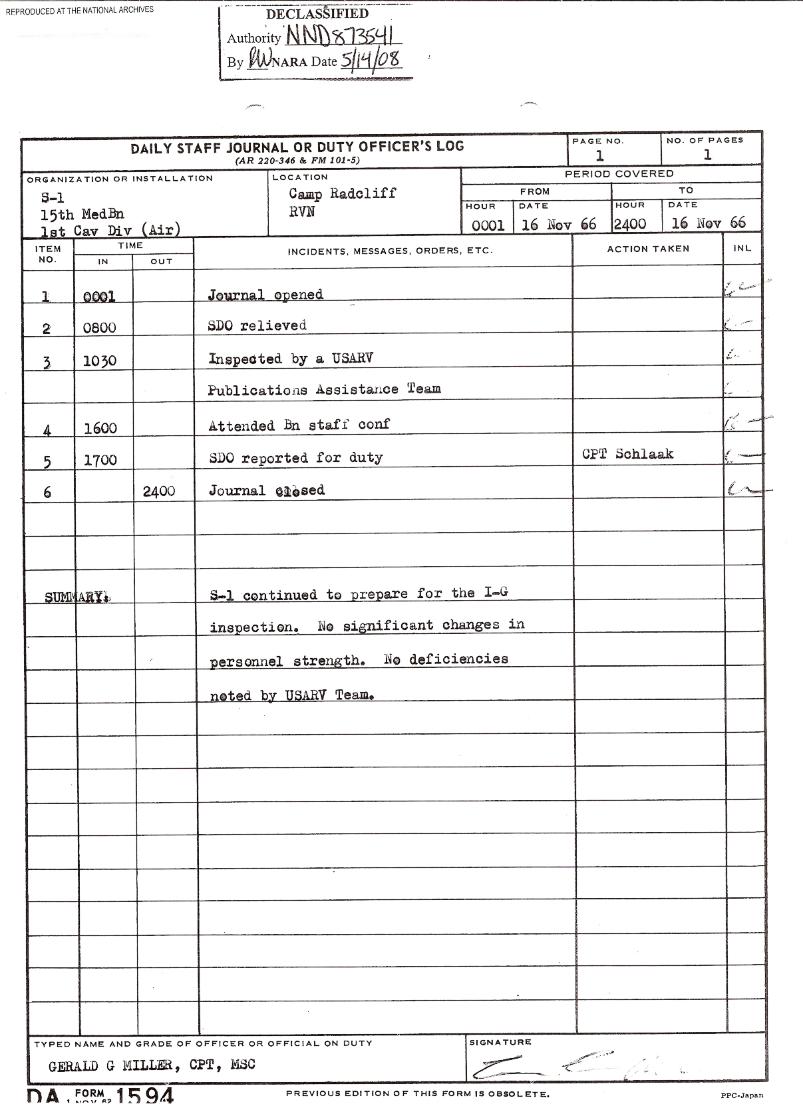
November 1966
S1  Page 7