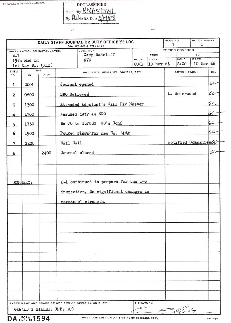
November 1966
S3  Page 1