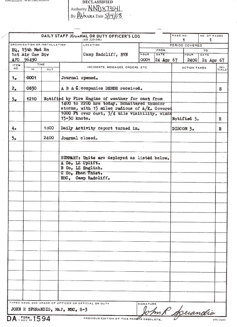
April 1967
HHC  Page 22