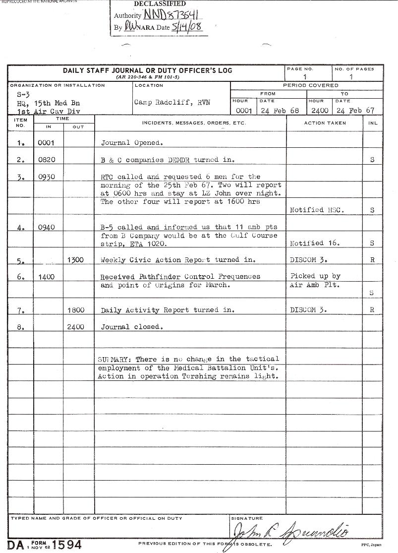
February 1967
S3  Page 24