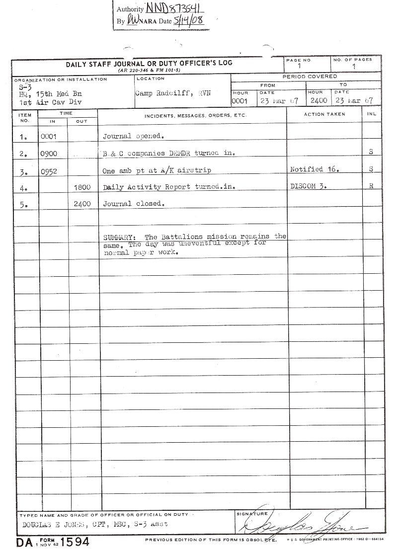
March 1967
S3  Page 23